티스토리 뷰

백준 온라인 저지(BOJ) 24265번 알고리즘 수업 - 알고리즘의 수행 시간 4
https://www.acmicpc.net/problem/24265
24265번: 알고리즘 수업 - 알고리즘의 수행 시간 4
오늘도 서준이는 알고리즘의 수행시간 수업 조교를 하고 있다. 아빠가 수업한 내용을 학생들이 잘 이해했는지 문제를 통해서 확인해보자. 입력의 크기 n이 주어지면 MenOfPassion 알고리즘 수행 시
www.acmicpc.net
* 사용언어 : C언어, C++
1. 문제
n 이 주어질 때, 아래 알고리즘의 ① 수행 횟수, ②최고차항의 차수를 출력
MenOfPassion(A[], n) {
sum <- 0;
for i <- 1 to n - 1
for j <- i + 1 to n
sum <- sum + A[i] × A[j]; # 코드1
return sum;
}

2. 풀이
시간 복잡도에 대한 이해가 필요한 문제입니다.
주어진 코드는 n 의 크기에 따라 1부터 n - 1 까지 n - 1회(i),
그리고 그 안에서 다시 i + 1부터 n 까지 n - i - 1회(j) 반복하면서
A[i] * A[j] 의 합을 구하여 출력하는 코드 입니다.
j 가 i 의 값에 따라 달라지기 때문에
정확한 수행 횟수 계산을 위해 i = 1부터 생각해보았습니다.
i = 1 인 경우, j 는 2 부터 n 까지 총 n - 1회 입니다.
i = 2 인 경우, j 는 3 부터 n 까지 총 n - 2회 입니다.
...
i = n - 2 인 경우, j 는 n - 1 부터 n 까지 총 2회 입니다.
i = n - 1 인 경우, j 는 n 부터 n 까지 총 1회 입니다.
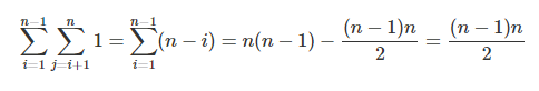
위에서 구한 j 의 반복 횟수를 거꾸로 더해보면,
총 수행 횟수는 1 + 2 + ... + (n - 2) + (n - 1) 이므로
결국 (n - 1) * n / 2 이라고 할 수 있습니다.
따라서 시간 복잡도는 O(n^2) 이 되고, 출력은 (n - 1) * n / 2 와 2 가 됩니다.
수식으로는 아래와 같이 증명할 수 있습니다.

여기서 최대 n 은 500,000 이므로 최대 출력은 124,999,750,000 이 되어
int 범위를 넘어갑니다. (int 범위는 대략 21억에서 -21억)
그렇기 때문에 n 을 long long 으로 처리를 해주어야 정답이 됩니다.
3. 코드
#ifndef _CRT_SECURE_NO_WARNINGS
#define _CRT_SECURE_NO_WARNINGS
#endif
/*
24265_알고리즘 수업 - 알고리즘의 수행 시간 4
1112KB 0ms
*/
#include <cstdio>
int main() {
#ifdef _WIN32
freopen("input.txt", "r", stdin);
#endif // _WIN32
long long int n;
scanf("%lld", &n);
printf("%lld\n2\n", (n - 1) * n / 2);
return 0;
}'개발자 > 문제풀이(C)' 카테고리의 다른 글
| [백준/BOJ] 24267번 알고리즘 수업 - 알고리즘의 수행 시간 6 (C/C++) (1) | 2023.06.11 |
|---|---|
| [백준/BOJ] 24266번 알고리즘 수업 - 알고리즘의 수행 시간 5 (C/C++) (0) | 2023.06.11 |
| [백준/BOJ] 24264번 알고리즘 수업 - 알고리즘의 수행 시간 3 (C/C++) (0) | 2023.06.11 |
| [백준/BOJ] 24263번 알고리즘 수업 - 알고리즘의 수행 시간 2 (C/C++) (0) | 2023.06.11 |
| [백준/BOJ] 24262번 알고리즘 수업 - 알고리즘의 수행 시간 1 (C/C++) (0) | 2023.06.11 |
- Total
- Today
- Yesterday
- 영화감상평
- 인간본성불패의법칙
- 쿠프마케팅
- 당신도느리게나이들수있습니다
- JUNGOL
- 센터독서클럽
- 이용제한
- 유연함의힘
- 세상을 읽는 새로운 언어 빅데이터
- 최재천의공부
- 이상감지
- 관계가상처가되기전에
- 시스템개발자
- 여가포인트
- 정세현의통찰
- 똑똑하고게으르게
- 자동차보험
- 나의첫죽음학수업
- 알고리즘
- 삼성전자
- 동탄에듀센터
- 문현공
- 시대예보
- 독서감상평
- 정올
- 마침내 특이점이 시작된다
- 자료구조
- 아가별
- 독서 감상평
- 동탄에듀센터2
| 일 | 월 | 화 | 수 | 목 | 금 | 토 |
|---|---|---|---|---|---|---|
| 1 | 2 | 3 | 4 | 5 | 6 | 7 |
| 8 | 9 | 10 | 11 | 12 | 13 | 14 |
| 15 | 16 | 17 | 18 | 19 | 20 | 21 |
| 22 | 23 | 24 | 25 | 26 | 27 | 28 |
| 29 | 30 | 31 |