티스토리 뷰
728x90
반응형

백준 온라인 저지(BOJ) 1546번 평균
https://www.acmicpc.net/problem/1546
1546번: 평균
첫째 줄에 시험 본 과목의 개수 N이 주어진다. 이 값은 1000보다 작거나 같다. 둘째 줄에 세준이의 현재 성적이 주어진다. 이 값은 100보다 작거나 같은 음이 아닌 정수이고, 적어도 하나의 값은 0보
www.acmicpc.net
* 사용언어 : C언어, C++
1. 문제
N개의 시험 과목 점수 중 최대값 M을 사용하여 점수를 수정한다.
각 점수는 '기존 점수 / M * 100' 으로 고치고 새로운 평균 점수을 출력한다.

2. 풀이
배열 카테고리에 속하는 문제인 만큼
입력받은 점수를 배열에 하나하나 기록하며 최대값을 찾아서 풀어도 됩니다.
하지만 그렇게 풀 경우 최대 4번의 반복이 필요합니다.
(1) 기록, 2) 최대값 찾기, 3) 점수 바꾸기, 4) 평균 계산 -> 물론 1, 2를 묶고 3, 4를 묶어서 2번에 처리할 수도 있습니다)
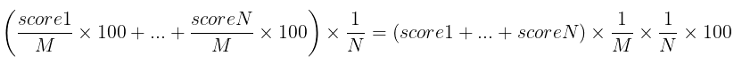
반복을 1회만 하려고 입력과 동시에 total 점수를 계산하며 max 값을 찾게 했고,
total 점수를 계산한 근거는 아래 수식입니다.

출력값은 소수점을 포함해야하므로
계산에 사용하는 100을 100.0(실수형)으로 맨 앞에 두었습니다.
3. 코드
#include <stdio.h>
int main() {
int n, score;
scanf("%d", &n);
int max = 0;
int total = 0;
for (int i = 0; i < n; ++i) {
scanf("%d", &score);
total += score;
if (score > max) {
max = score;
}
}
printf("%f\n", 100.0 * total / n / max);
return 0;
}728x90
반응형
'개발자 > 문제풀이 (C언어)' 카테고리의 다른 글
| [백준/BOJ] 4344번 평균은 넘겠지 (C/C++) (2) | 2021.11.19 |
|---|---|
| [백준/BOJ] 8958번 OX퀴즈 (C/C++) (0) | 2021.11.19 |
| [백준/BOJ] 3052번 나머지 (C/C++) (0) | 2021.08.19 |
| [백준/BOJ] 2577번 숫자의 개수 (C/C++) (2) | 2021.08.19 |
| [백준/BOJ] 2562번 최댓값 (C/C++) (0) | 2021.08.19 |
댓글
반응형
250x250
공지사항
최근에 올라온 글
최근에 달린 댓글
- Total
- Today
- Yesterday
링크
TAG
- 영화감상평
- 나의첫죽음학수업
- 정세현의통찰
- 독서 감상평
- 센터독서클럽
- 동탄에듀센터2
- 관계가상처가되기전에
- 이상감지
- 동탄에듀센터
- 알고리즘
- 자료구조
- 시대예보
- 세상을 읽는 새로운 언어 빅데이터
- 아가별
- 문현공
- 쿠프마케팅
- 최재천의공부
- 유연함의힘
- 자동차보험
- 인간본성불패의법칙
- 독서감상평
- 삼성전자
- 여가포인트
- JUNGOL
- 정올
- 이용제한
- 마침내 특이점이 시작된다
- 시스템개발자
- 똑똑하고게으르게
- 당신도느리게나이들수있습니다
| 일 | 월 | 화 | 수 | 목 | 금 | 토 |
|---|---|---|---|---|---|---|
| 1 | 2 | 3 | 4 | 5 | 6 | 7 |
| 8 | 9 | 10 | 11 | 12 | 13 | 14 |
| 15 | 16 | 17 | 18 | 19 | 20 | 21 |
| 22 | 23 | 24 | 25 | 26 | 27 | 28 |
글 보관함